ГОСТ 27006-86
 

  Главная:
характеристики кирпича.


  Кирпич керамический.
  Кирпич силикатный.
  Кирпич строительный.
  Кирпич облицовочный.
  Кирпич клинкерный.
  Кирпич огнеупорный.
  Кирпич магнезитовый.
  Кирпич-сырец.
  Кирпичная кладка.
  Кладка дымоходов.
  Раствор для кладки.
  Дефекты кладки.
  Сырье для кирпича.
  Количество кирпича.

Кирпичные заводы России
Заводы ЖБИ в России
Строительные компании
Бетонные блоки

Строительство частного дома.
Архитектурные термины.
Архитектурные стили.
Полезные статьи.
Строительные ГОСТы.


Лента новостей сайта

поделиться в соц. сетях:
 

ГОСТ 27006-86. Бетоны. Правила подбора состава.


ГОСТ 27006-86

Группа Ж13

МЕЖГОСУДАРСТВЕННЫЙ СТАНДАРТ

БЕТОНЫ
ПРАВИЛА ПОДБОРА СОСТАВА

Concretes. Rules for mix proportioning

МКС 91.100.30
ОКП 58 7000

Дата введения 1987-01-01


Постановлением Государственного комитета СССР по делам строительства от 25 марта 1986 N 31 дата введения установлена 01.01.87

ПЕРЕИЗДАНИЕ. Август 2006 г.

Настоящий стандарт распространяется на конструкционные тяжелый, легкий, ячеистый и плотный силикатный бетоны по ГОСТ 25192-82 и устанавливает правила подбора, назначения и выдачи в производство состава бетона на предприятиях и строительных организациях при изготовлении сборных бетонных и железобетонных изделий и конструкций и бетонной смеси для монолитных конструкций и сооружений (далее - конструкции), а также при обосновании производственно-технических норм расхода материалов.

Устанавливаемые настоящим стандартом правила могут применяться также для подбора состава специальных бетонов различных видов при условии обеспечения всех предъявляемых к этим бетонам требований.


1. ОБЩИЕ ПОЛОЖЕНИЯ


1.1. Подбор состава бетона следует производить в соответствии с требованиями настоящего стандарта с целью получения бетона в конструкциях с прочностью и другими показателями качества, установленными государственными стандартами, техническими условиями или проектной документацией на эти конструкции, при минимальном расходе цемента или другого вяжущего.

1.2. Подбор состава бетона включает в себя определение номинального состава, расчет и корректировку рабочего состава, расчет и передачу в производство рабочих дозировок.

1.3. Подбор номинального состава бетона производят при организации производства новых видов конструкций, изменении нормируемых показателей качества бетона или бетонной смеси, технологии производства, поставщиков, вида или марок применяемых материалов, а также при разработке и пересмотре производственных норм расхода материалов.

1.4. Рабочие составы бетона назначают при переходе на новый номинальный состав и далее при поступлении новых партий материалов тех же видов и марок, которые принимались при подборе номинального состава, с учетом их фактического качества. При назначении рабочих составов их проверяют в лабораторных или производственных условиях.

В дальнейшем по результатам операционного контроля качества материалов данных партий и получаемой из них бетонной смеси, а также приемочного контроля качества бетона производят корректировку рабочих составов.

1.5. Рабочую дозировку назначают по рабочему составу бетонной смеси с учетом объема приготовляемого замеса.

1.6. Подбор состава бетона должен выполняться лабораторией предприятия - изготовителя бетонной смеси по утвержденному заданию, разработанному технологической службой этого предприятия.

Допускается производить подбор состава бетона в центральных лабораториях, трестах "Оргтехстрой", научно-исследовательских лабораториях и других организациях по утвержденному заданию на подбор состава бетона.

1.7. Результаты подбора номинального состава бетона, отвечающего требованиям утвержденного задания, должны быть оформлены в журнале подбора состава бетона и утверждены главным инженером предприятия - изготовителя бетонной смеси. Рабочие составы и дозировки подписываются начальником лаборатории или другим лицом, ответственным за подбор состава бетона.

1.8. Задание, журнал подбора номинального состава бетона, ведомости рабочих составов и листы рабочих дозировок вместе с дубликатами документов о качестве на соответствующие партии бетонной смеси или конструкций должны храниться на предприятии-изготовителе согласно требованиям, установленным ГОСТ 13015.3-81 для документа о качестве.


2. ЗАДАНИЕ НА ПОДБОР СОСТАВА БЕТОНА


2.1. Задание на подбор состава бетона должно быть составлено для конструкций конкретной номенклатуры, изготовляемых из бетона одного вида и качества по определенной технологии.

2.2. Задание должно содержать:

нормируемые показатели качества бетона в соответствии с техническими требованиями стандартов, технических условий или проектной документации на конструкции конкретных видов, для которых предназначен бетон;

показатели качества бетонной смеси, длительность и режимы твердения бетона и другие условия производства, принимаемые по технологической документации, разработанной в соответствии с действующими стандартами, нормами и правилами;

показатели однородности прочности бетона всех видов и плотности легких и ячеистых бетонов, а также соответствующий им средний уровень прочности и плотности, планируемые на предстоящий период;

ограничения по составу бетона и применению материалов для его приготовления, установленные нормативно-технической и технологической документацией.

2.3. Состав бетона следует подбирать исходя из среднего уровня прочности, а для легкого и ячеистого - и плотности бетона.

Значения среднего уровня прочности и плотности для подбора состава бетона принимают по ГОСТ 18105-86 и ГОСТ 27005-86 с учетом фактической однородности бетона и планируемых мероприятий по ее повышению.

Для случаев, когда отсутствуют данные о фактической однородности бетона, средний уровень прочности при подборе его состава принимают равным требуемой прочности по ГОСТ 18105-86 для бетона данного класса или марки при коэффициенте вариации, равном 13,5 % для тяжелого и легкого бетонов, 14 % - для плотного силикатного бетона и 17 % - для ячеистого, а также бетона массивных гидротехнических конструкций. Средний уровень плотности в этих случаях принимают равным марке бетона по плотности.


3. ПОДБОР НОМИНАЛЬНОГО СОСТАВА БЕТОНА


3.1. Подбор номинального состава бетона производят по следующим этапам:

выбор и определение характеристик исходных материалов для бетона;

расчет начального состава;

расчет дополнительных составов бетона с параметрами составов, отличающихся от принятых в начальном составе в большую и меньшую сторону;

изготовление пробных замесов начального и дополнительных составов, отбор проб, испытание бетонной смеси, изготовление образцов и их испытание по всем нормируемым показателям качества;

обработка полученных результатов с установлением зависимостей, отражающих влияние параметров состава на нормируемые показатели качества бетонной смеси и бетона и предназначенных для назначения номинального, а также назначения и корректировки рабочих составов бетона;

назначение номинального состава бетона, обеспечивающего получение бетонной смеси и бетона требуемого качества при минимальном расходе вяжущего.

3.2. Подбор номинального состава производят:

для вяжущего каждого вида и марки каждого предприятия-изготовителя;

для крупного заполнителя каждого карьера с одинаковой максимальной крупностью;

для крупного пористого заполнителя каждой марки по насыпной плотности и прочности каждого предприятия-изготовителя;

для песков каждого карьера;

для химических добавок каждого вида.

3.3. Выбор материалов, применяемых для изготовления бетона, следует производить на основе их паспортных характеристик в соответствии с требованиями стандартов и технических условий.

При выборе материалов следует учитывать необходимость наиболее полного использования промышленных отходов (зол, шлаков и золошлаковых смесей ТЭС и др.).

3.4. Материалы, применяемые для подбора состава, должны соответствовать требованиям стандартов или технических условий на эти материалы. До начала работы по расчетам состава бетона и приготовлению опытных замесов следует провести испытания материалов по соответствующим стандартам для определения показателей их качества, необходимых для проведения расчетов.

Активность цемента (или прочностные характеристики другого вяжущего, если их невозможно определить стандартными методами) для расчета начального и дополнительных составов следует принимать в зависимости от его фактической прочности в бетоне постоянного состава, который является наиболее массовым для предприятия - изготовителя бетонной смеси, либо другими экспресс-методами, проверенными на практике.

Указанные данные о фактической прочности цемента, примененные при подборе номинального состава, используются в дальнейшем для назначения рабочих составов бетона.

Допускается активность цемента для расчета состава бетона принимать равной его гарантированной марке. В этом случае при получении новой партии цемента в целях его использования в соответствии с фактической активностью рабочий состав бетона (в части расхода цемента) подбирают аналогично номинальному.

3.5. Пробы материалов отбирают в объеме, необходимом для подбора состава бетона.

Отобранные пробы заполнителей следует высушить до постоянной массы и просеять с отсевом от мелкого заполнителя зерен крупнее 5 мм, а от крупного заполнителя - мельче 5 мм и с разделением крупных заполнителей на отдельные фракции.

3.6. Начальный состав бетона рассчитывают по фактическим характеристикам исходных материалов в соответствии с методиками, пособиями и рекомендациями научно-исследовательских институтов, утвержденных в установленном порядке.

3.7. В качестве варьируемых параметров состава принимают параметры, оказывающие влияние на свойства бетонной смеси и нормируемые показатели качества бетона в зависимости от вида бетона и принятой методики расчета. Например, для тяжелого бетона в общем случае это цементно-водное отношение, доля песка в смеси заполнителей и расход добавки. При этом для каждого вида бетона устанавливают основной параметр, в большей мере влияющий на его прочность (например, для тяжелого бетона - цементно-водное отношение).

3.8. Дополнительные составы рассчитывают аналогично начальному при значениях варьируемых параметров состава, отличающихся от принятых при расчете начального состава в меньшую и большую сторону на 15-30 %. Количество дополнительных составов по каждому из этих параметров должно быть не менее двух.

3.9. Опытные замесы по начальному и дополнительным составам следует приготовлять на заполнителях и вяжущем, характеристики которых были приняты при расчете составов. Материалы должны иметь положительную температуру.

Объем каждого опытного замеса должен не менее чем на 10 % превышать суммарный объем изготовляемых из него образцов и проб, используемых для контроля свойств бетонной смеси и бетона.

3.10. Материалы следует дозировать по массе с погрешностью не более 1,0 %.

Дозирование пористых заполнителей допускается производить по объему с обязательным контролем насыпной плотности.

Воду, водные растворы добавок и синтетические смолы дозируют по массе или объему. Плотность водного раствора рабочего состава добавки должна быть предварительно определена.

3.11. Приготовление опытных замесов производят в лабораторном смесителе принудительного или гравитационного действия. Приготовление опытных замесов объемом до 15 л при подборе состава тяжелого бетона и легкого бетона без структурообразующих добавок допускается производить вручную на предварительно увлажненном противне с перемешиванием в течение 3-5 мин.

3.12. Приготовление опытных замесов начинают с перемешивания сухих материалов, а затем постепенно добавляют в замес назначенное по расчету количество воды, раствора добавки или синтетической смолы.

Допускается на основе визуального контроля удобоукладываемости и структуры бетонной смеси вносить изменения в количество отдозированной воды, а для конструкционно-теплоизоляционных легких бетонов - в количество воздухововлекающей добавки или пены.

3.13. После окончания перемешивания отбирают пробы по ГОСТ 10181-2000 для проверки удобоукладываемости и других свойств бетонной смеси, предусмотренных в техническом задании на подбор состава бетона. При этом определение удобоукладываемости начинают не ранее 15 мин после начала перемешивания смеси с водой.

Если свойства бетонной смеси не соответствуют каким-либо требованиям задания на подбор состава бетона, следует произвести корректировку составов до получения в замесе каждого состава смеси с заданными свойствами.

Бетонную смесь, которая не удовлетворяет требованиям задания по удобоукладываемости, допускается корректировать при вторичном перемешивании с добавлением воды, цемента, заполнителей и добавок в необходимых количествах. При подборе состава жестких смесей и смесей со структурообразующими добавками, а также бетонных смесей, свойства которых нормируются не только непосредственно после приготовления, но и через определенное время после их перемешивания, вторичное перемешивание опытных проб бетонных смесей не допускается и замес повторяют с измененными расходами материалов.

3.14. После получения бетонной смеси с заданными свойствами определяют ее плотность по ГОСТ 10181-2000 (за исключением ячеистого бетона) и для каждого состава рассчитывают фактический расход материалов на 1 м³ бетона по формулам:

ГОСТ 27006-86; (1)

ГОСТ 27006-86; (2)

ГОСТ 27006-86; (3)

ГОСТ 27006-86; (4)


Ц, П, Щ и В - расход соответственно цемента, мелкого заполнителя, крупного заполнителя и воды, кг/м³ бетона;

gц, gп, gщ, gв - масса соответственно цемента, мелкого заполнителя, крупного заполнителя и воды в замесе, кг;

Pсм - плотность бетонной смеси, кг/м³;

- суммарная масса всех материалов в замесе, кг.



3.15. Из общего числа составов бетона, рассчитанных по п.3.14 для каждого из принятых в расчете значений основного параметра, выбирают составы с минимальной водопотребностью или расходом вяжущего, изготовляют контрольные образцы бетона этих составов и определяют прочность бетона по ГОСТ 10180-90.

Режим твердения образцов должен соответствовать принятому режиму твердения бетона в конструкциях, для которых произведен подбор состава бетона.

3.16. По результатам испытаний бетонной смеси и бетона рассчитанных составов устанавливают необходимые зависимости свойств бетонной смеси от параметров состава или (и) расхода материалов, а также строят график зависимости прочности бетона от основного параметра.

Указанные зависимости и график используют в дальнейшем для назначения и корректировки рабочих составов.

3.17. По графику зависимости прочности бетона от основного параметра определяют значение этого параметра, соответствующего прочности бетона, указанной в задании на подбор его состава, пересчитывают состав бетона исходя из найденного значения основного параметра и проверяют его соответствие всем другим нормируемым показателям качества (например, плотности, водонепроницаемости, морозостойкости и др.).

При положительных результатах испытаний подобранный состав бетона принимают за номинальный.

В случаях, когда подбираемый состав бетона отвечает требованиям по прочности и не отвечает каким-либо другим требованиям задания на подбор состава, следует произвести новый подбор состава с применением технологических приемов, обеспечивающих получение всех требуемых показателей качества бетона, как правило, без увеличения расхода цемента.

3.18. Подбор состава бетона с целью обоснования производственных норм расхода материалов производят для условий производства и по материалам, показатели качества которых соответствуют средним значениям применяемых материалов и условий производства за период не менее 6 мес., предшествующих времени подбора состава.


4. НАЗНАЧЕНИЕ И КОРРЕКТИРОВКА РАБОЧИХ СОСТАВОВ БЕТОННЫХ СМЕСЕЙ


4.1. Назначение нового рабочего состава бетонной смеси производят, если по данным входного контроля установлено изменение качества поступивших материалов по сравнению с применяемыми ранее более чем на:

2,5 МПа - фактической прочности цемента, характеризуемой в соответствии с п. 3.4;

1,5 абс.% - нормальной густоты цементного теста;

1,5 абс.% - содержания илистых, глинистых и пылевидных частиц;

50 кг/м³ насыпной плотности пористого заполнителя.

4.2. Корректировку рабочего состава производят, если по данным входного контроля качества заполнителей и операционного контроля производства установлено изменение качества материалов тех же партий или качества получаемой бетонной смеси более чем на:

2 абс.% - содержания песка в щебне или щебня в песке;

0,5 абс.% - влажности заполнителей;

2 см или 5 с - осадки конуса или жесткости бетонной смеси.


Корректировку производят также, если:

фактическая прочность бетона ниже требуемой или выше верхней предупредительной границы по ГОСТ 18105-86;

фактическая плотность легкого и ячеистого бетонов выше требуемой по ГОСТ 27005-86.

4.3. Назначение и корректировку рабочих составов производят с учетом зависимостей между параметрами состава бетона и свойствами бетона и бетонной смеси, установленными при подборе номинального состава.

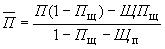
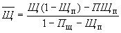
При этом расход заполнителей и воды в рабочем составе с учетом фактической влажности заполнителей и содержания крупного заполнителя в мелком и мелкого заполнителя в крупном определяют по формулам:

; (5)

; (6)

; (7)

; (8)

где Зi - расход заполнителей, кг/м³;

В - расход воды, кг/м³;

Wi- влажность по массе i-й фракции заполнителя, %;

Зi³ - расход по номинальному составу заполнителя i-фракции, кг/м³;

Вº - расход воды по номинальному составу, кг/м³;

, - расход песка и крупного заполнителя, кг/м³, с учетом содержания песка в крупном заполнителе (Пщ) и крупного заполнителя в песке (Щп) в долях от массы;

 П и Щ - расход песка и крупного заполнителя по номинальному составу, кг/м³.


5. ПЕРЕДАЧА НА ПРОИЗВОДСТВО РАБОЧИХ ДОЗИРОВОК


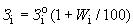
5.1. Дозировки материалов (цемента, заполнителей, воды и добавки) рассчитывают по формуле

 Д
i = VPi (9)

где Д
i - доза i-ко материала по массе, кг, или объему, м³;

Pi - расход i-го материала в рабочем составе по массе, кг/м³, или объему, м³/м³;

V - объем замеса, м³
, и заносят в журнал подбора составов.


5.2. Лаборатория предприятия - изготовителя бетонной смеси передает на производство дубликат дозировки из журнала подбора состава по каждому рабочему составу бетона. Каждый дубликат дозировки должен быть подписан начальником или другим ответственным лицом лаборатории.


Электронный текст документа подготовлен ЗАО "Кодекс" и сверен по:
официальное издание М:
Стандартинформ, 2006



 

Для связи: uvo70@yandex.ru

Использование материалов сайта
при условии обязательной гиперссылки на данный ресурс.