ГОСТ 25881-83 Бетоны химически стойкие. Методы испытаний.
 

   Главная:
характеристики кирпича.


  Кирпич керамический.
  Кирпич силикатный.
  Кирпич строительный.
  Кирпич облицовочный.
  Кирпич клинкерный.
  Кирпич огнеупорный.
  Кирпич магнезитовый.
  Кирпич-сырец.
  Кирпичная кладка.
  Кладка дымоходов.
  Раствор для кладки.
  Дефекты кладки.
  Сырье для кирпича.
  Количество кирпича.

Кирпичные заводы России
  Заводы в Украине
  Заводы в Белоруссии
  Заводы в Казахстане
Заводы ЖБИ в России
Строительные компании

Бетонные блоки

Строительство частного дома.
Архитектурные термины.
Архитектурные стили.
Полезные статьи.
Строительные ГОСТы.

Лента новостей сайта

поделиться в соц. сетях:
 

ГОСУДАРСТВЕННЫЙ СТАНДАРТ СОЮЗА ССР

БЕТОНЫ ХИМИЧЕСКИ СТОЙКИЕ

Методы испытаний

ГОСТ 25881-83

ГОСУДАРСТВЕННЫЙ КОМИТЕТ СССР ПО ДЕЛАМ СТРОИТЕЛЬСТВА

Москва

РАЗРАБОТАН Научно-исследовательским институтом бетона и железобетона (НИИЖБ) Госстроя СССР

Министерством цветной металлургии СССР

Министерством высшего и среднего образования РСФСР

ИСПОЛНИТЕЛИ

В. В. Патуроев, д-р техн. наук, проф. (руководитель темы); А. Н. Волгушев, канд. техн. наук; Г. К. Соловьев, канд. техн. наук; Н. Ф. Шестеркина, канд. техн. наук; А. М. Фанталов; И. И. Иванова; В. Н. Кулезнев, д.-р. хим. наук; С. М. Гринберг, канд. техн. наук; И. И. Костин

ВНЕСЕН Научно-исследовательским институтом бетона и железобетона (НИИЖБ) Госстроя СССР

Зам. директора Б. А. Крылов

УТВЕРЖДЕН И ВВЕДЕН В ДЕЙСТВИЕ Постановлением Государственного комитета СССР по делам строительства от 7 июля 1983 г. № 173

ГОСУДАРСТВЕННЫЙ СТАНДАРТ СОЮЗА ССР

БЕТОНЫ ХИМИЧЕСКИ СТОЙКИЕ

Методы испытаний

Chemically resistant concretes. Methods of test

ГОСТ
25881-83

Взамен ГОСТ 25246-82
в части приложения 5

Постановлением Государственного комитета СССР по делам строительства от 7 июля 1983 г. № 175 срок введения установлен

с 01.07.84

Настоящий стандарт распространяется на все виды полимербетонов и полимерсиликатных бетонов по ГОСТ 25246-82 и устанавливает метод определения их химической стойкости в ненапряженном состоянии при воздействии на них жидких агрессивных сред (далее - сред) путем испытания контрольных образцов.

Настоящий стандарт следует применять при определении химической стойкости полимербетонов и полимерсиликатных бетонов, устанавливаемой в стандартах, технических условиях и рабочих чертежах на конструкции из полимербетонов или полимерсиликатных бетонов, а также при изучении химической стойкости новых составов и видов указанных бетонов.

Методика прогнозирования долговечности химически стойких бетонов по результатам испытаний образцов, проведенных в течение года, приведена в справочном приложении.

Методика предназначена для обоснования выбора химически стойкого бетона.

Стандарт соответствует стандарту ИСО 1920-76 в части требований к образцам.

1. ОБЩИЕ ПОЛОЖЕНИЯ

1.1. Метод испытаний основан на определении химической стойкости полимербетонов и полимерсиликатных бетонов по изменению массы и прочности образцов после выдержки в среде в течение контрольного периода времени.

1.2. Лица, допущенные к проведению испытаний, должны пройти курс обучения и инструктаж по безопасности труда и правилам эксплуатации испытательных машин, приборов и оборудования в соответствии с требованиями ГОСТ 12.0.004-79.

2. ИЗГОТОВЛЕНИЕ ОБРАЗЦОВ

2.1. Образцы для испытания изготовляют размерами 40 ´ 40 ´ 160 мм. Допускается при экспертной оценке химической стойкости эксплуатируемых изделий использовать образцы тех же размеров, выпиленные или выбуренные из конструкции.

2.2. Для испытания изготовляют семь серий образцов из одной пробы бетона (одну серию для каждого срока испытания). Число образцов в серии должно быть не менее 3.

2.3. Перед формованием образцов внутренняя поверхность форм должна быть покрыта разделительным слоем из парафина, масла или другого материала по ГОСТ 25246-82.

2.4. Образцы необходимо формовать не позднее чем через 20 мин после приготовления смеси. Общее время формования должно составлять 10 - 15 мин и заканчиваться до начала схватывания.

2.5. Образцы уплотняют на виброплощадках с частотой (2900 ± 100) колебаний в минуту и амплитудой (0,5 ± 0,05) мм в течение 1 - 2 мин.

2.6. Образцы должны распалубливаться через 24 ч отверждения при температуре не ниже 18 °С. Последующие условия твердения образцов до погружения в среду должны быть аналогичны твердению изделий из этого бетона с учетом требований ГОСТ 25246-82.

3. АППАРАТЫ, МАТЕРИАЛЫ И РЕАКТИВЫ

3.1. При проведении испытаний применяют следующее оборудование и приборы:

испытательная машина или пресс по ГОСТ 8905-82;

весы технические по ГОСТ 24104-80;

штангенциркуль по ГОСТ 166-80;

металлические линейки по ГОСТ 427-75;

формы для изготовления контрольных образцов по ГОСТ 310.4-81;

лабораторная виброплощадка типа 435А;

противни (эмалированные);

щипцы;

емкости для погружения образцов в среду;

реактивы по ГОСТ 25246-82;

терморегулирующее устройство (термометры электроконтактные по ГОСТ 9871-75).

3.2. Материал форм должен быть инертным к составляющим смесей полимербетонов и полимерсиликатных бетонов.

3.3. Емкости должны быть из материала стойкого к воздействию применяемых сред, плотно закрываться крышками и иметь размеры, позволяющие разместить необходимое количество испытываемых образцов.

3.4. Реактивы для получения химически агрессивных сред и их концентрацию выбирают в соответствии с условиями эксплуатации конструкции. Перечень наиболее распространенных химически агрессивных сред приведен в ГОСТ 25246-82.

4. ПОДГОТОВКА К ИСПЫТАНИЮ

4.1. Образцы должны иметь маркировку, в которой указывают номер серии и порядковый номер образца в серии. Маркировка должна сохраняться в течение всего процесса испытаний.

4.2. На поверхности образцов не должно быть загрязнений, следов смазки и других веществ. Загрязнения должны удаляться с помощью наждачной бумаги или растворителями, не оказывающими отрицательного влияния на поверхность образцов. Образцы не должны иметь внешних дефектов в виде трещин, вздутий и раковин диаметром и глубиной более 4 мм.

4.3. Плотность отдельных образцов одной серии не должна различаться более чем ±1 %. При отклонении в больших пределах образцы отбраковывают.

4.4. Плотность образцов должна определяться в соответствии с требованиями ГОСТ 12730.1-78.

5. ПРОВЕДЕНИЕ ИСПЫТАНИЯ

5.1. Перед погружением в среду замеряют размеры образцов всех серий металлической линейкой или штангенциркулем с погрешностью до 1 мм.

5.2. Определяют массу образцов взвешиванием с погрешностью до 0,01 г.

5.3. Образцы испытывают сериями: одну до погружения в среду, затем по одной серии после каждого срока, предусмотренного п. 5.5.

5.4. Образцы испытывают на растяжение при изгибе в соответствии с требованиями ГОСТ 310.4-81.

5.5. Продолжительность выдерживания образцов в среде принимают равной 360 ут при промежуточных сроках 30, 60, 90, 180, 270 сут.

5.6. Образцы для испытания помещают в емкость так, чтобы они не соприкасались друг с другом и со стенками емкости, заливают их заранее приготовленным раствором среды необходимой концентрации и температуры до полного погружения. Слой раствора над образцами должен быть не менее 2 - 3 см.

5.7. Регулярно через 30 сут необходимо проверять концентрацию среды. В случае снижения концентрации более чем на 10 % от установленной, среду полностью заменяют.

5.8. При истечении установленного срока нахождения в условиях воздействия среды образцы с помощью щипцов извлекают из емкости, устанавливают на противень, ополаскивают водопроводной водой, промокают фильтровальной бумагой или протирают тканью, затем измеряют, взвешивают и определяют прочность на растяжение при изгибе.

5.9. Температура среды должна быть в пределах (20 ± 2) ° С. Испытания при повышенных температурах назначают в зависимости от условий эксплуатации конструкции, выбирая одну из величин следующего ряда температур: 40, 60, 80, 100 °C.

5.10. Емкости для проведения испытаний при повышенных температурах должны быть снабжены теплоизоляцией, теплоносителем и терморегулирующими устройствами, обеспечивающими поддержание заданного температурного режима в среде с погрешностью ±2 °С.

5.11. Не допускается погружение в одну емкость образцов, изготовленных из химически стойких бетонов различных составов.

6. ОБРАБОТКА РЕЗУЛЬТАТОВ

6.1. По результатам испытаний в пределах каждой серии находят среднеарифметическое значение показателей прочности образцов на растяжение при изгибе и их массы. Отбраковка анормальных результатов испытаний по прочности должна производиться по ГОСТ 10180-78.

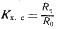
6.2. Химическую стойкость полимербетона и полимерсиликатного бетона оценивают путем сравнения фактического коэффициента химической стойкости Кх.с, , определяемого на серии образцов, выдержанных в среде в течение 360 сут, с требованиями ГОСТ 25246-82.

6.3. Коэффициент химической стойкости Кх.с определяют по изменению прочности образцов на растяжение при изгибе после каждого срока испытаний по формуле

, (1)

где Rub>o - предел прочности серии образцов на растяжение при изгибе, не погружавшихся в среду;

Rt - предел прочности серии образцов на растяжение при изгибе после выдержки в среде в течение времени t , сут.

6.4. Изменение массы образцов m после каждого срока испытания D m в процентах вычисляют по формуле

, (2)

где m - масса серии образцов до погружения в среду, г;

m1 - масса серии образцов после выдержки в среде, г.

6.5. Уменьшение массы образцов после выдержки в среде не должно превышать 1 %. При уменьшении массы образцов более чем на 1 % состав бетона относят к нестойким в данной среде независимо от результатов механических испытаний.

6.6. Результаты полных и промежуточных испытаний заносят в журнал, который должен содержать:

наименование испытываемого химически стойкого бетона, его состав, способ и режим изготовления образцов;

наименование и температуру среды, срок выдерживания образцов в среде;

массу образцов до и после выдерживания в среде и изменение массы в процентах;

изменения поверхности образцов и внешнего вида в результате воздействия химической среды (наличие трещин, вздутий, раковин);

прочность при изгибе до и после выдержки образцов в среде и их изменения (коэффициент химической стойкости);

дату проведения испытаний (определение прочности на растяжение при изгибе и массы).

ПРИЛОЖЕНИЕ

Справочное

ПРОГНОЗИРОВАНИЕ ВЕЛИЧИНЫ КОЭФФИЦИЕНТА ХИМИЧЕСКОЙ СТОЙКОСТИ ПО РЕЗУЛЬТАТАМ ИСПЫТАНИЙ

1. Исходя из конкретных условий эксплуатации конструкций рассчитывают экономически целесообразный срок их службы. Принимают, что под действием агрессивной среды в течение этого срока допустимое снижение химической стойкости бетона в конструкции должно соответствовать величине С.

2. Для принятого периода эксплуатации химическая стойкость конструкции обеспечивается при условии

Кх.с ³ 1 - С, (1)

где Кх.с - коэффициент химической стойкости, вычисленный путем потенциирования величины, полученной по формуле (2).

3. Для прогнозирования величины коэффициента химической стойкости Кх.с в течение принятого срока эксплуатации используют зависимость (при t ³ 30 сут)

lg Кх.сb> = а + b lg t , (2)

где lg Кх.с и lgt - логарифмы коэффициента химической стойкости и принятого срока эксплуатации;

а и b - постоянные для данного вида полимербетона и данной среды коэффициенты.

4. Коэффициенты а и b уравнения (2) рассчитывают по результатам испытаний по следующим формулам:

(3)

(4)

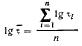
где - средние значения логарифма коэффициента химической стойкости;

- средние значения логарифма времени испытаний;

lgKх.ci и lgt i - соответственно логарифмы коэффициентов химической стойкости и времени испытаний в 1-й серии образцов (промежуточных сроков, предусмотренных п. 5.5 настоящего стандарта);

n - число серий образцов, испытанных в промежуточные сроки.

Пример прогнозирования величины коэффициента химической стойкости по результатам годовых испытаний

При испытаниях аглопоритополимербетона ФАМ в 10 %-ной серной кислоте были получены следующие средние величины коэффициентов химической стойкости в принятые сроки испытаний, указанные в табл. 1.

Таблица 1

Срок испытания t FACE="Symbol">t i, сут

30

60

90

180

270

360

Коэффициент химической стойкости Kх.с

0,85

0,8

0,78

0,72

0,69

0,68

Коэффициенты а и b уравнения (2) рассчитывают, подставляя данные в табл. 2 в формулы (3) и (4). Все промежуточные значения величин для подсчета коэффициентов приведены в табл. 2.

Искомая зависимость описывается уравнением

lgх.c = 0,1 - 0,108lgt . (5)

Экономически целесообразный срок службы конструкции примем равным t = 10 лет, при этом допустимое снижение прочности за 10 лет (3600 сут.) примем равным С = 0,5.

Определяем коэффициент химической стойкости за принятый срок эксплуатации конструкции

lgKх.c = а + b lgt = 0,1 - 0,108 lg3600 = -0,285, (6)

тогда lgKх.ci = 0,52.

Подставляем полученные результаты в формулу (1)

0,52 > (1 - 0,5) = 0,5. (7)

Таким образом расчет показывает, что для принятого периода эксплуатации коэффициент химической стойкости полимербетонных конструкций выше минимально допустимого.

Таблица 2

СОДЕРЖАНИЕ

1. Общие положения *

2. Изготовление образцов *

3. Аппараты, материалы и реактивы *

4. Подготовка к испытанию *

5. Проведение испытания *

6. Обработка результатов *

Приложение. Прогнозирование величины коэффициента химической стойкости по результатам испытаний *




 


Для связи: uvo70@yandex.ru

Использование материалов сайта
при условии обязательной гиперссылки на данный ресурс.